рефераты по менеджменту

Управление материально-техническим снабжением предприятия

Страница
1

Введение

Основной задачей органов материально-технического снабжения является обеспечение производства необходимыми материалами, комплектующими и другими изделиями и пр. при условии соблюдения режима экономии в затратах материальных ресурсов.

Все задачи материально-технического снабжения можно функционально разделить на три группы: определение потребности в материалах и комплектующих изделиях на производственную программу в укрупненной и специфицированной номенклатуре, разработка плана снабжения – составление заявок на фонды и распределение выделенных фондов; оперативный учет и управление движением материальных ресурсов; бухгалтерский учет материальных ресурсов.

Подсистема материально-технического снабжения функционально тесно связана с подсистемами планирования и оперативного управления производством и с подсистемой бухгалтерского учета.

Определение потребности и разработки плана снабжения

Производство имеет дело с конкретным материалом, характеристики которого включают марку материала, его типоразмер. Полный перечень таких исходных материалов называют специфицированной номенклатурой.

В масштабах народного хозяйства такой перечень насчитывает многие миллионы позиций, что исключает возможность их использования при планировании производства. Поэтому на уровне предприятий составляются заявки на обоснование и получение фондов на материальные ресурсы в укрупненной, сводной номенклатуре. Ряд специфицированных номенклатур объединяется в группы. Так, например, группа "лист медный" содержит свыше 300 специфицированных позиций такого типа: "лист медный холоднокатаный, твердый, марки М2, ГОСТ 495-70, размером 1,2x600x2000 мм".

Если число типов выпускаемых изделий сравнительно невелико и по каждому из них известны дерево структуры изделия, исходные материалы на изготовление деталей и необходимые комплектующие изделия, то нетрудно составить специфицированную потребность на изделие, суммируя количество одинаковых материалов по всем деталям. Умножая на количество изделий по плану и суммируя по всем изделиям, получают специфицированную потребность на плановое производство готовых изделий. Сводя позиции специфицированной номенклатуры в установленные укрупненные группы, получают потребность в материалах в сводной номенклатуре для заявки в вышестоящие снабженческие органы.

При стабильном производстве описанную операцию можно выполнить однократно, введя в память ЭВМ сводные нормы расхода материалов на изделие и обращаясь к ним в периоды составления заявок. Если число типов выпускаемых изделий велико, группируют близкие по характеристикам изделия и выделяют в каждой группе типовой представитель, для которого определяют сводные нормы расхода материалов. Все остальные типы пересчитываются через пересчетные коэффициенты. Наконец, при чрезвычайно большой номенклатуре производства, например, запасных частей, определяют усредненные сводные нормы расхода каждой группы материалов на 1 тыс. или на 1 млн. руб. производства.

Если известны сводные нормы расхода материалов на изделие, заявки на фонды определяют следующим образом.

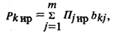
Потребность на программу выпуска в k-ja виде материала на основное производство

где Пj - годовой план выпуска j-го типа изделия; bkj - норма расхода k го вида материала на j-е изделие.

Общая потребность в материалах k-го вида на непредвиденные работы

где Пjнр - количество изделий j-го типа по годовому плану на группу изделий "непредвиденные расходы".

Общая потребность в материалах и комплектующих изделиях k-го вида на НИР, инструменты и оснастку

где Pkнир - расход k-го вида материала на НИР; Pkигс – расход k-го лица материала на инструмент и оснастку.

Расчет потребности в материалах на изменение незавершенного производства (НЭП) основывается на данных об объеме производства, нормах длительности производственного цикла изготовления отдельных деталей и узлов и нормах расхода материалов на различных стадиях производства. Изменение соотношения между НЭП и товарной продукцией в процентах

где Вкнз.п, Вннз.п - объем НЗП на конец и начало планируемого года; Стов стоимость товарной продукции в планируемом году. Тогда потребность в материалах (комплектующих) k-го вида на изменение НЭП

где Рk – потребность в материалах k-го вида на годовую программу.

Суммарная потребность в материалах k-го вида для расхода на все нужды основного и вспомогательного производства

Переходящий запас материалов k-го вида на начало года

где Нпер.зап – норматив переходящего запаса по данной номенклатуре материала (на этапе предварительных расчетов принимается Нпер.зап = 30 дн); Траб.год - число рабочих дней в году.

Общая потребность в материалах k-го вида на год

Ожидаемый остаток на начало планируемого года

где Фkгод - утвержденный фонд текущего года; Фk0 - нереализованная часть годового фонда; Фk1 – фонд, реализованный в первом квартале; Оk1 - остаток на конец первого квартала (в цехах и складах); Pk2–1 - потребность в k-м виде материала на второй, третий и четвертый кварталы текущего года; Pkн – ожидаемая реализация неликвидов и сверхнормативов.

Величина запрашиваемого фонда на материалы

По составленным заявкам, если они признаны правильными, осуществляется выделение фондов. По дефицитным позициям величина выделенных фондов оказывается меньше заявленной потребности, что требует корректировки производственных планов или поисков дополнительных источников ресурсов.

На самом деле ситуация гораздо сложнее, чем описано выше. Заявки начинают собирать в апреле – мае года, предшествующего планируемому. В это время планы производства еще не известны, причем они принципиально не могут быть известны. Чтобы спрогнозировать план производства изделий, надо знать потребность в них, которая выявляется путем сбора заявок, по необходимости проводимого до составления планов производства. По этой и другим причинам потребность в материалах в сводной номенклатуре является лишь первым приближением к плану снабжения предприятия.

Выделенные фонды требуют специфицирования, так как поставщики по нарядам-заказам или договорам поставляют уже конкретные марки и типоразмеры исходных материалов для производства.

Для учета и планирования хода материально-технического снабжения составляется план снабжения, который состоит из двух сбалансированных частей - плана поставок и плана распределения.

Перейти на страницу номер:
 1  2  3 

© 2010-2026 рефераты по менеджменту