рефераты по менеджменту

Анализ и выбор систем управления запасами

Страница
1

Введение

Целью данного курсового проекта является разработка системы управления запасами выбранного товара. Для этого в ходе работы будут освещены следующие вопросы. Первая часть проекта будет посвящена определению оптимального запаса по формуле Уилсона. На следующем этапе я рассмотрю три системы управления запасами – с фиксированным объемом поставки и с фиксированным интервалом времени между заказами, с фиксированным объемом поставки, с фиксированным интервалом времени. После анализа и оценки эффективности каждой из систем, будет выбрана одна, наиболее подходящая для данной ситуации. Но сначала несколько слов о значении запасов и о важности управления запасами. Значение и роль запасов в экономике предприятия очень велики, так как именно запасы участвуют в обеспечении стабильности и непрерывности производства. Рынок всегда непредсказуем, и это, несомненно, влияет на производственный процесс предприятия. Спрогнозировать точную цифру, проданной готовой продукции в следующем месяце, не берется ни один специалист. И поэтому, для поддержания производственного процесса предприятию необходимо заботиться о том, чтобы в его распоряжении постоянно находилось достаточное количество сырья и материалов, для удовлетворения потребностей производства. Создавая запасы, предприятие уменьшает риск остановки производства в случае, когда происходят резкое увеличение спроса или перебои в снабжении. Создание запасов в свою очередь несёт за собой дополнительные финансовые издержки, а именно:

§ отвлечение части финансовых средств на поддержание запасов

§ расходы на содержание складов

§ оплата труда специального персонала

§ дополнительные налоги

§ постоянный риск порчи, не реализации просроченного товара

Краткий обзор рынка. Описание товара

В целом спрос на мебельном рынке делят на две группы: это первичный спрос и спрос на замену. Первичный спрос (т.е. потребители, которые покупают мебель для новой квартиры, для нового офиса) - это предприятия, молодые семьи и новые организации. Чаще всего при первичном спросе приобретается мебель средней ценовой категории. Спрос на замену характерен для потребителей с растущим уровнем доходов, либо для расширяющихся организаций. В данном случае такие покупатели ориентируются на ценовой сегмент "средний плюс" и дорогую, элитную мебель.

Среди российских производителей мебели наиболее крупные - МК "Шатура", корпорация "Электрогорскмебель", производственная компания "Дятьково" (Мебельная компания "Катюша"), холдинг "Фабрики мебели "8-е Марта", "Эванти", "Техсервис", "Фабрика "НИК", "Миасс-Мебель", "Мебелионика", "ДОК-17".

В своей работе я рассмотрю табуреты российского производства компании "Техсервис" с мягким квадратным сиденьем. Компания Техсервис выпускает мебели более 150 различных моделей: столы, стулья, барные стулья, табуреты, кресла, банкетки, секции, диваны, кровати, вешалки, стойки под компакт-диски, и т.д. Габариты табурета 340х340х510. Вес: 2,75 кг. Табуреты пакуются в коробы.

в коробе шт.

вес короба, кг, нетто/брутто

8

22/22.8

Транспортная тара: короб 460х460х780 мм,

Количество на паллете: 20 (456 кг)

Примерные условия хранения: t=5-40°С, влажность 50-60%.

Цена варьируется от 5900 до6200 рублей за короб.

Модель оптимального размера заказа

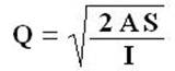
В данной главе основной задачей является определение оптимального запаса товара на складе. Для этого используется модель оптимального размера заказа (ОРЗ), а именно основная формула Уилсона:

Опис : вилсон

Где Q – оптимальный запас товара,

A – стоимость одной поставки,

S – потребность в товаре,

I – стоимость хранения 1 единицы товара за период времени.

Стоит заметить, что формула Уилсона на практике почти не используется, так как она разработана для теоретического курса по управлению запасами. Поэтому все расчеты относятся к одному виду товара, также считается, что каждый заказ поступает единой поставкой. В данном курсовом проекте рассматривается как раз однономенклатурный запас, поэтому формула Уилсона подходит для расчета оптимального заказа. При дальнейших расчетах также будет учитываться то, что один заказ осуществляется одной поставкой.

Выбор склада и расчет "I"

Для того чтобы воспользоваться формулой, необходимо рассчитать все ее составляющие. Сначала определим величину I. Для этого следует выбрать склад для хранения товара. На решение может повлиять ряд факторов:

· Тариф

· Условия складирования

· Срока годности товара

· Особые условия хранения товара

На складе, который предназначен для хранения мебели необходимо наладить постоянный контроль за поддержанием оптимальной температуры и влажности воздуха. Ни при каких обстоятельствах нельзя допускать их резких перепадов. Контроль за температурой воздуха осуществляется с помощью специальных термометров. Для измерения влажности воздуха на складе должны применяться специальные приборы, с помощью которых определяется относительная влажность воздуха.

За мебельной продукцией, хранящийся на складе, должны быть обеспечены постоянное наблюдение и уход. Также необходимо регулярно проверять состояние товаров, обращая при этом внимание на появление признаков порчи, следов грызунов и насекомых.

Итак, для хранения товара был выбран склад, соответствующий всем требуемым параметрам по хранению мебели, организации ООО "Интерлог", расположенной в Москве. Компания предоставляет различные логистические услуги, в том числе ответственное хранение, которое нас и интересует. Складской комплекс "Северный" находится по адресу Коровинское шоссе, д.1А. Есть круглосуточная охрана (повышает надежность), поддерживается температура от + 14 до + 16, что отвечает требованиям товара. Стоимость аренды 1 паллетоместа в сутки составляет 12 рублей, включая НДС.

Единицей измерения продаж было решено считать короб, а нам известно, что на одну паллету помещается 20 коробов. Теперь мы можем рассчитать стоимость хранения 1 короба в год, то есть I.

I = 12/20*365 = 219 руб./год

Выбор транспортной компании и расчет "А"

спрос мебель заказ запас поставка

Следующий этап - определение величины А, то есть стоимости одной поставки. На ее размер влияет множество факторов, например:

· Стоимость аренды транспорта

· Накладные расходы на заказ

· Вид транспортных средств

· Расстояние

· Габариты груза

· Условия перевозки

· Страховка

Итак, чтобы найти А, необходимо выбрать транспортную компанию. На этот выбор влияют такие критерии, как тариф, дополнительные услуги, специализация, репутация и надежность компании.

Перейти на страницу номер:
 1  2  3 

© 2010-2026 рефераты по менеджменту