рефераты по менеджменту

Прогнозирование путём прямой экстраполяции. Ошибки прогнозирования

Страница
3

Полная и систематизированная информация об объекте про­гнозирования необходима для повышения достоверности и на­дежности прогноза. Ведь практическая деятельность по состав­лению прогноза в том и состоит, что обработанная определен­ным образом информация о состоянии объекта на текущий мо­мент, о его тенденциях превращается в информацию о будущем состоянии объекта.

Наиболее ответственная часть работы по составлению крат­косрочного прогноза заключается в выборе математической функции, которая отражает общую тенденцию. Здесь очень важным становится правильный выбор вида кривой, потому что если уравнение хорошо подобрано к исходным данным, то оно точнее выражает общую тенденцию, что в конечном счете ска­зывается на результатах прогноза. Выбор кривой, которая наи­лучшим образом описывает закономерности изменения данного эмпирического ряда, одна из важнейших проблем экстраполяционного прогноза.

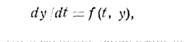
Вид моделей тенденций развития определяется внутренними свойствами исследуемого процесса. Анализируя динамику раз­меров перевозок для обоснования формы моделей, воспользу­емся методами теории экономического роста.

Процесс роста размеров перевозок на автомобильном транс­порте можно описать дифференциальным уравнением вида:

которое показывает, что изменение зависимой переменной (в на­шем случае размер перевозок) зависит как от времени, так и от величины самих размеров перевозок.

Рассматривая частный случай уравнения

Эти уравнения показывают различные варианты изменения размеров перевозок. Если ввести логарифмическую производную(относительную скорость роста, пропорциональное увеличение в единицу времени) то уравнение примет вид:

Эти уравнения содержат постоянную интегрирования, кото­рую можно определить по заданному значению I, у

Каждая из перечисленных функций есть простая модель ди­намики размеров перевозок, описывающая траекторию экономи­ческого роста. Эти функции могут применяться и применяются для прогнозирования размеров перевозок на макроуровне, где присутствует большая инерционность и темпы прироста пример­но одинаковы. Это показано в работе, а также подтверж­дается нашими расчетами.

Инерционность развития в наибольшей мере присуща тем параметрам, которые характеризуют макроструктуру народного хозяйства и в меньшей мере проявляются на уровне отраслей, предприятий, отдельных участков производства. В свою очередь, инерционность параметров, принадлежащих одному уровню, но различным отраслям, предприятиям тоже различна.

В соответствии с вышесказанным инерционность элементов транспортной системы — министерство, автоуправление, авто­транспортное предприятие (объединение)- различна. Модели по­линомиального вида, полученные методом прямой экстраполя­ции, достаточно хорошо работающие на высшем уровне, могут быть не применимы для прогнозирования показателей низшего уровня.

Анализ рис. 9 показывает, что на уровне автотранспортного предприятия инерционность нам­ного меньше, а основная тенденция часто искажена случайной составляющей, поэтому для прог­нозирования на уровне АТП (объединения) необходимо при­менять функции специального ви-1а, учитывающие неравномер­ность темпа прироста в каждый момент времени, т. е.

Рассматриваемая обобщенно-экспоненциальная функция со­храняет экспоненциальный закон как главную компоненту ди­намики размеров перевозок, а компонента роста отражает переменность темпа прироста в каждый момент времени. Функ­цию (19) можно привести к виду:

Таким образом, рекомендуемый нами набор функций для краткосрочного прогнозирования на уровне АТП и управлений включает не только широко распространенные в практике эко­номического прогнозирования полиномы до третьей степени включительно и экспоненциальную функцию, но и две еще не применявшиеся формы связи (обобщенно-экспоненциальные функции). Параметры прогнозирующих функций рассчитывают­ся методом наименьших квадратов.

Согласно методу наименьших квадратов находится разность y-f, а сумма квадратов этих разностей S=будет функцией неизвестных «параметров. Так,

Определяют такую оценку параметров №, которая минимизирует 5(1Г), для чего определяется й81с!№ и приравнивается нулю, что дает си­стему т нормальных уравнений, которая должна быть решена относительно W

После нахождения неизвестных параметров прогнозных кривых необходимо оценить их близость к эмпирическим данным и выбрать наилучшую функцию. Критериями выбора являются: среднее абсолютное отклонение (|Л|); среднеквадратичное отклонение — о; коэффициент вариации — V; индекc корреляции Я.2; коэффициент Фишера Р. Все эти критерии предназна­чены для оценки качества аппроксимации, поэтому использование их выбора наилучшей прогнозирующей функции может привести к большим погрешно­стям. В работе применяется новый критерий — критерий минимума отклоне­ния в последней точке (МОПТ). Рассмотрим этот метод более подробно. Применение этого критерия основывается на следующем: качество прогнозов путем прямой экстраполяции тенденций улучшается, если за прогнозирующую функцию выбирается та, которая дает наименьшее отклонение в последней точке исследуемого временного ряда, т. е. задача определения не­известных параметров принимает вид

Для отыскания наилучшей функции применялась следующая процедура. Исходный временной ряд уменьшался на единицу, т. е. отбрасывалось по­следнее значение ряда, которое служило для проверки условия минимально­сти. По укороченному временному ряду находились параметры прогнозиру­ющих функций и выбиралась та, которая обеспечивала минимальное откло­нение в последней точке. Полученная форма связи применялась для экстра­поляции уже по полному временному ряду.

С целью проверки изложенного метода прогнозирования на конкретном цифровом материале были проведены экспериментальные расчеты по опреде­лению перспективных величин размеров перевозок для предприятий Влади­мирского транспортного управления.

Методику выбора лучшей функции проследим на примере определения перспективной величины выработки в тонно-километрах на одну списочную автомобиле-тонну по АТП г. Суздаля (предпрогнозный период 9 лет). Для определения неизвестных параметров и оценочных критериев функций использовалась специально разработанная авторами программа РРОС--1.

Перейти на страницу номер:
 1  2  3  4 

© 2010-2026 рефераты по менеджменту