КР - коэффициент передачи.
Для преобразования параметра w– угловой скорости в
параметр φ – угловое перемещение применим интегрирующее звено, а для преобразования углового перемещения в линейное, по ходовому винту, умножим на шаг винта и разделим на 2π.
Передаточная функция преобразователя угловой скорости в угловое перемещение:
 
Передаточная функция преобразователя углового перемещения в линейное:
![]()
,h=1 мм.
 
Uз ΔUUДwφφhQ
φφU0
φ
Реализация структурной схемы САУ на SIMULINC не выдает ошибок. Система является работоспособной.
 
По построенной схеме получим переходной процесс.
Переходной процесс САУ
 
По переходному процессу САУ оцениваем ее устойчивость.
Данная САУ является неустойчивым. Система совершает автоколебания
и имеет непрерывно возрастающую амплитудную характеристику.
![]()
 
Для достижения устойчивости введем последовательное корректирующее устройство.
Передаточная функция неизменяемой части САУ:
. 
Строим ЛАХ неизменяемой части:
![]()
 
 
 
Строим ЖЛАХ:
· НЧ область.
Порядок астатизма ![]()
, 
следовательно наклон равен 
-ν20дб/дек.
. 
· СЧ область. Наклон -20дб/дек. Требуемое время регулирования
tp=1 c. По номограмме Солодовникова находим частоту среза
 
 
Номы запасов устойчивости для систем с высокими показателями качества: НМ=24 дб, -НМ=-24 дб.
 
· ВЧ область. Для наиболее простой реализации последовательного корректирующего устройства наклоны ВЧ части ЖЛАХ примем равными наклонам ЛАХ неизменяемой части.
Строим ЛАХ корректирующего устройства.
 
ККУ=1.
Построенные ЛАХ неизменяемой части, желаемая ЛАХ и ЛАХ корректирующего устройства представлены в приложении.
 
Передаточная функция корректирующего устройства:
![]()
![]()
 
![]()  |  
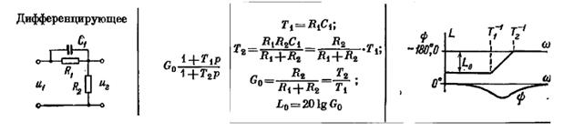
По передаточной функции корректирующего устройства выбираем схему корректирующего устройства и рассчитываем параметры его элементов.
Выберем схемы пассивных четырехполюсников:
1. 
. 
 
 
2.
. 
 
 
Возможно применение элементов и с другими параметрами при условии, что они будут удовлетворять условиям нахождения постоянных времени.
Схема корректирующего устройства:
 
Структурная схема синтезированной САУ.
 
Оценим устойчивость полученной системы по переходному процессу и по АФЧХ.
Система устойчива. Величина выходного сигнала стремиться к устанавливающемуся значению.
АФЧХ системы не охватывает точку (-1; j0), следовательно она является устойчивой.
Ниже представлены ЛАХ неизменяемой части, желаемая ЛАХ и ЛАХ корректирующего устройства смоделированные на ЭВМ.
 
 
САУ должна соответствовать следующим показателям качества:
величина перерегулирования σmax
25%, 
время регулирования tp<1c,
количество колебаний М
2. 
Представим переходной процесс синтезированной САУ и по ним определим основные показатели качества.
Итак,
время регулирования tp=0,82с,
количество колебаний М=1,
величина перерегулирования
 
 
Достигнутые показатели качества соответствуют требуемым.